|
Search Site |
Latest Additions |
News |
Mailing List |
Topic Index / FAQs |
Declassified
Documents
|
Medical Information
|
Navigation |
Organization |
Library |
Related
Sites
|
|
|
|

|
CURRENT NEWS
|

|
CASE NARRATIVES
|

|
ENVIRONMENTAL EXPOSURE REPORTS
|

|
HELP FOR VETERANS
|

|
E-MAIL
|
|
|
 |
- DHSD meeting with Grass Roots Groups
- September
20th 2002
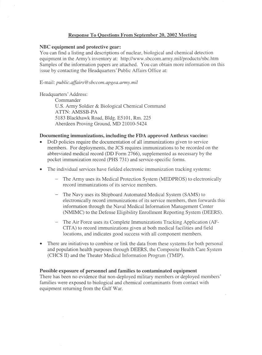
Here we have the response letters from the
Pentagon concerning our questions from September 20th 2002.
Letters submitted to DHSD Sept 20th 2002:
Jan
Brown
Allan
Opie
Bob
Jones Paul
Lyons Tonia
Goertz Leslie
Stevenson Meryl
Nass Jim
Moss Dave
Seipel Venus
HammackPhil
Nelson Dannie
Wolfe
Reponses from DOD November 15th 2002:
Kirt
Love
Bob
JonesVenus
HammackPage
1Page
2Page
3Page
4Page
5Page
6
Page
7
Page
8
The rest was about the following website:
The U.S. Army Soldier and
Biological Chemical Command (SBCCOM)
http://www.sbccom.apgea.army.mil
Biological Integrated Detection System
(BIDS)
http://www.sbccom.apgea.army.mil/products/bids.htm
M21 Automatic Chemical Agent Alarm
http://www.sbccom.apgea.army.mil/products/m21.htm
M22 Automatic Chemical Agent Alarm
http://www.sbccom.apgea.army.mil/products/m22.htm
Joint Service General Purpose Mask (JSGPM)
http://www.sbccom.apgea.army.mil/products/jsgpm.htm
|