|
Search Site |
Latest Additions |
News |
Mailing List |
Topic Index / FAQs |
Declassified
Documents
|
Medical Information
|
Navigation |
Organization |
Library |
Related
Sites
|
|
|
|

|
CURRENT NEWS
|

|
CASE NARRATIVES
|

|
ENVIRONMENTAL EXPOSURE REPORTS
|

|
HELP FOR VETERANS
|

|
E-MAIL
|
|
|
 |
- Where's the PAC?
-
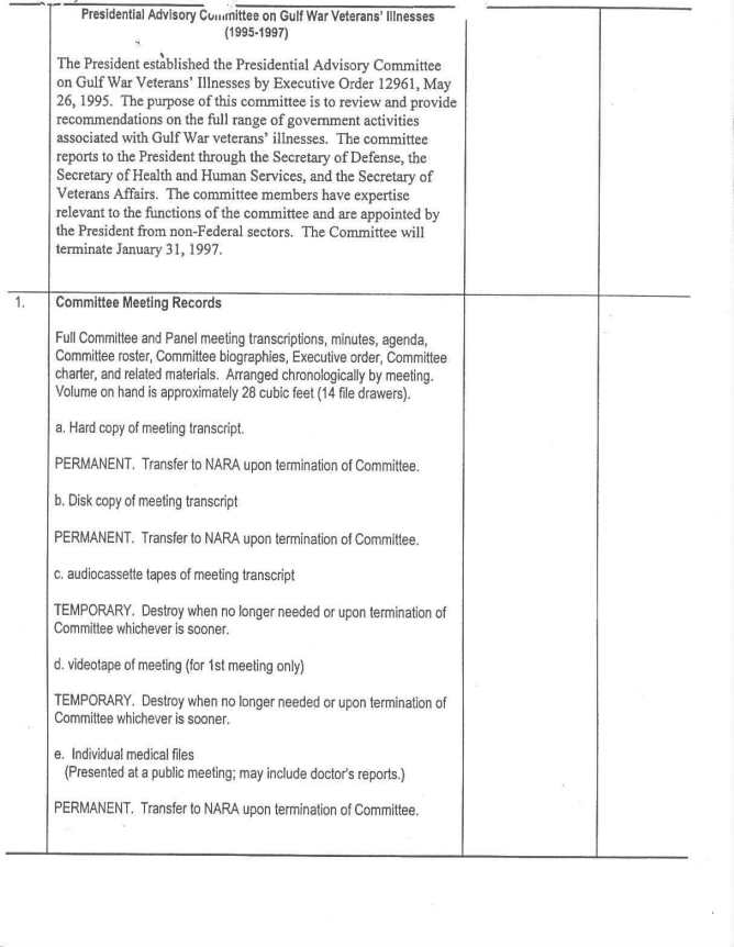
- Earlier on the Presidential Advisory Committee scurried
- around the country talking to the Gulf War Community.
- They collected documents and testimony everywhere
- they went, volumes at the multitude of town hall
meetings.
- Then they presented their findings, closed their
doors.
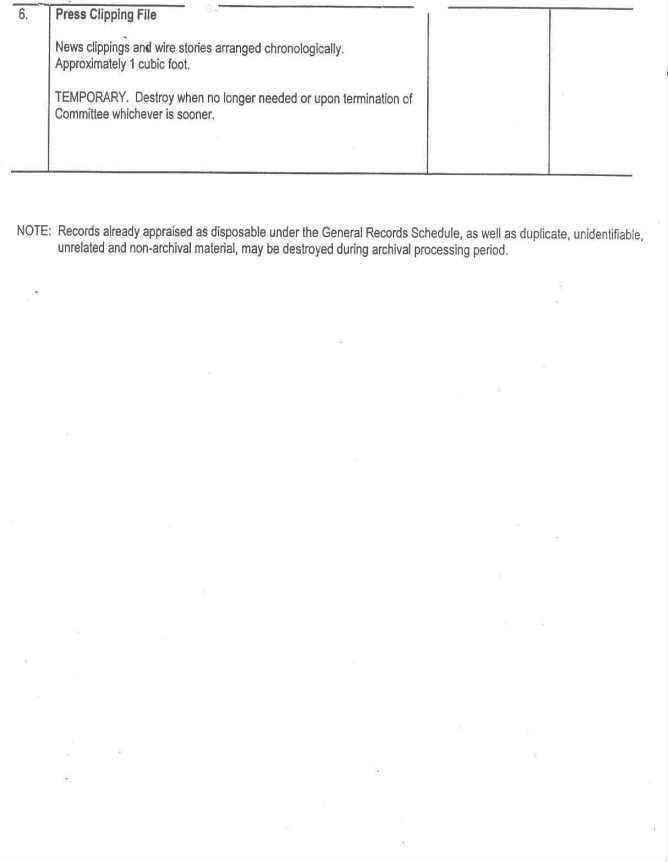
- The stark truth was the material went into storage and
- was forgotten.
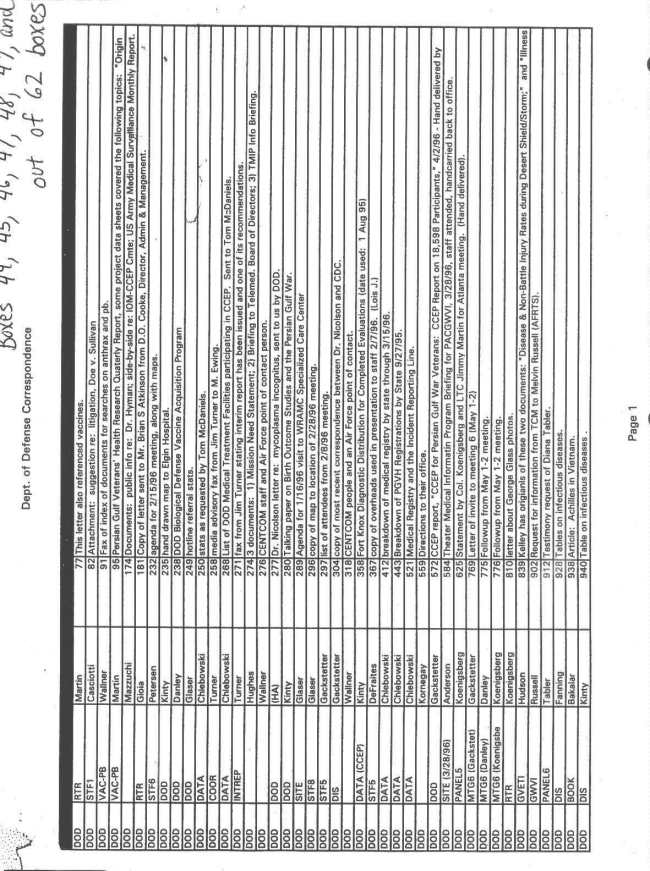
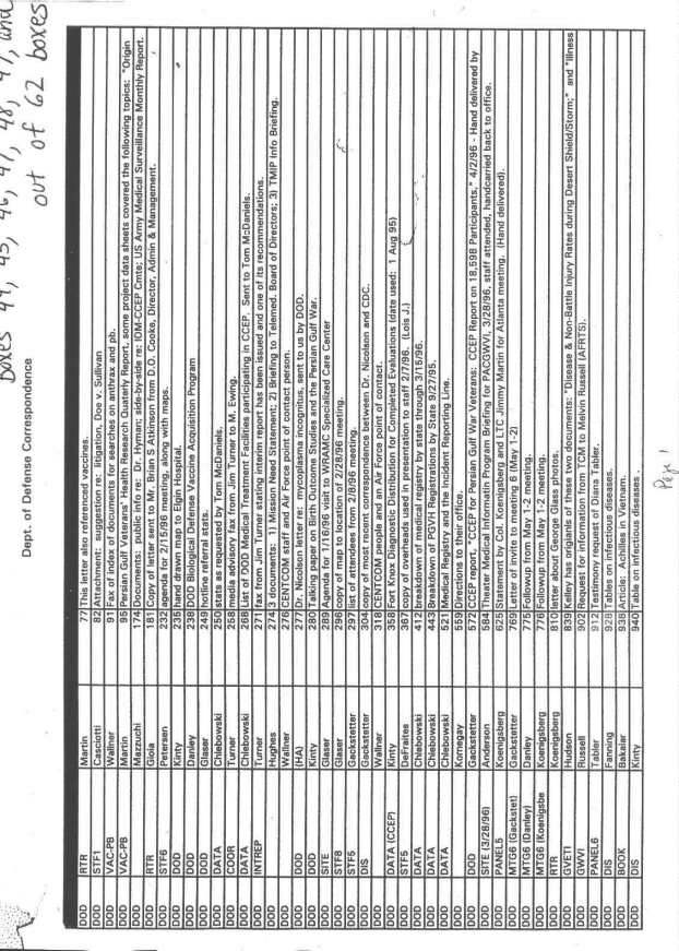
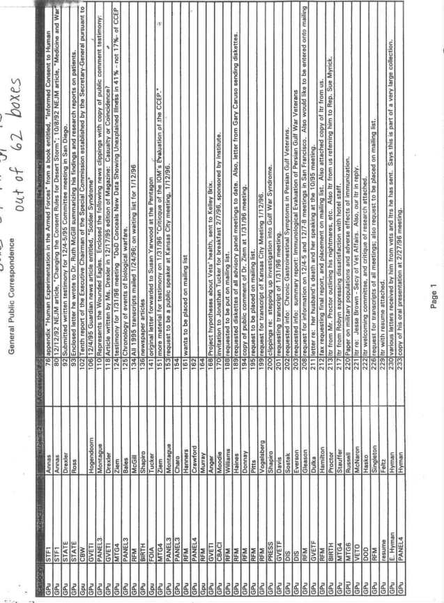
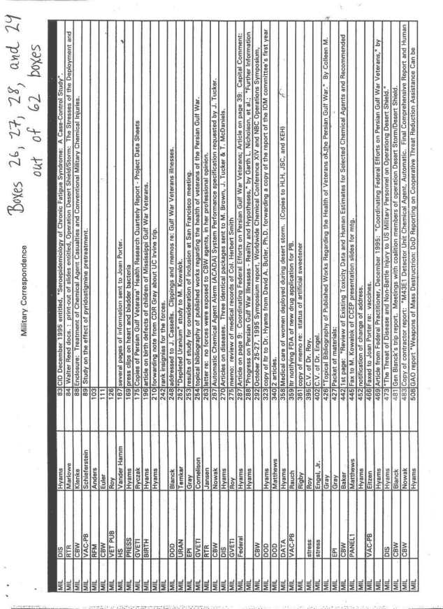
This is the closest to a inventory list that exist at this time,
- the list
was taken directly from the National Archives
- Temporary Inventory list. Because the PAC closed so
- recently, NARA doesn't believe there is any priority on
- this material so they haven't even started checking
if
- this is actually all of it.
Ive been told there were MILLIONS of documents submitted
- to the PAC, yet I only found 56 boxes. Less than 46,000 files
- at the Archives.
These are in the order they were copied:
|